Answer to Question 3


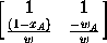
To obtain the gain matrix we have to differentiate both w and xA with respect to wA and wB. Thus we get:

Gain Matrix =

The only thing that this can tell us is that if the flowrate of B is being used to control the concentration of A then a negative gain should be used for the controller.

Now it is simply a matter of inserting the above values into the equation for a 2X2 system

to obtain the RGA:

Relative Gain Array =

This tells us that if a concentration of 0.5 is required then either stream can be used in either control loop. However if a concentration of greater than 0.5 is required then the concentration loop should be paired with the flowrate of A and vice-versa.


Please move Back to previous page