Section 3.5.2: Additional Notes - Reducing the number of equations



Consider:

\begin{eqnarray*}f_1(x_1) & = & 0 \\
f_2(x_1,x_2) & = & 0 \\
f_3(x_2,x_3,x_5...
... & 0 \\
f_5(x_1,x_4,x_5) & = & 0 \\
f_6(x_5,x_6) & = & 0 \\
\end{eqnarray*}


We note that:

We can call the subset (f1,f2) the head of the equation set, andf6 the tail. (In general, of course, the equations need not have been numbered and ordered so that these appeared at the top and bottom of the list of equations!)


Partitions

The group (f3,f4,f6) is called a partition of the set of equations and represents a subset that must be solved simultaneously. If we delete x1 andx2, which will be known after solvingf1 andf2, the partition is:

\begin{eqnarray*}f_3(x_3,x_5) & = & 0 \\
f_4(x_3,x_4) & = & 0 \\
f_5(x_4,x_5) & = & 0
\end{eqnarray*}


There are three equations in three unknowns, so our `work factor' is 32 = 9, only a quarter of that for the complete set.

Incidence Matrix


\begin{displaymath}\left[
\begin{array}{c c c c c c}
1 & & & & & \\
1 & 1 & & &...
... \\
1 & & & 1 & 1 & \\
& & & & 1 & 1 \\
\end{array}\right]
\end{displaymath}

The partition is identifiable as the the group of equations with above diagonal elements.


Tearing

The partition alone is 3 equations, f3, f4, f5 in $\{x_3, x_4,x_5\}$

These can be solved as follows:

Rearrange f3 to give x5 , in terms of x3 , i.e:

\begin{displaymath}x_5 = \phi_3(x_3) \end{displaymath}

Similarly f5 to give x4 in terms of x5 :
\begin{displaymath}x_4 = \phi_5(x_5) \end{displaymath}

And finally either: Evaluate f4 ; if $f_4 \approx 0$ terminate; otherwise adjust x3

This procedure is referred to as tearing the set of equations, reducing them here to solution for a single unknown x3 , called the tear variable.

The incidence matrix:

\begin{displaymath}\left[
\begin{array}{c c c}
1 & & 1 \\
1 & 1 & \\
& 1 & 1 \\
\end{array}\right]
\end{displaymath}

has one variable with a supra-diagonal element; this tells us that we can reduce the equations to solving for a single variable.

Solution by Tearing

The procedure can be represented:

\begin{displaymath}\begin{array}{ccccc}
\phi_3 & \rightarrow & x_5 & \rightarrow...
...ow \\
x_3 & \leftarrow & \phi_4 & \leftarrow & x_4
\end{array}\end{displaymath}

Clearly any one of x3 , x4 or x5 could have been chosen as the unknown.

Summarizing ...

Solve essentially by rearranging the equations from the form:

\begin{displaymath}{\bf f}({\bf x}) = {\bf0} \end{displaymath}

into:

\begin{displaymath}\tilde{{\bf x}} = {\bf\phi}({\bf x}) \end{displaymath}

$\tilde{{\bf x}}$ , the output set of the equations contains all the xi from ${\bf x}$ but not necessarily in the same order. For the example above ... Head:

\begin{eqnarray*}x_1 & = & \phi_1 \\
x_2 & = & \phi_2(x_1) \\
\end{eqnarray*}


Partition:

\begin{eqnarray*}x_5 & = & \phi_3(x_2,x_3) \\
x_4 & = & \phi_5(x_1,x_5) \\
f_4(x_3,x_4) & = & 0 \\
\end{eqnarray*}


Tail:

\begin{eqnarray*}x_6 & = & \phi_6(x_5) \\
\end{eqnarray*}


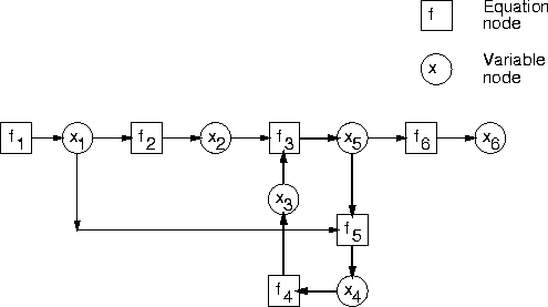
Equation set as a Graph

One and only one edge may leave an equation node. One and only one edge may enter a variable node. Partition cycle shown bold.


Bubble Point Calculation Revisited

Given a liquid mixture of n components with mol fraction composition $x_i, \ i=1 \ldots n$ , at pressure P , determine the temperature T , and the composition yi of the vapour in equilibrium with the liquid.
P*i - P*i(T) = 0 (1)
$\displaystyle k_i - \frac{P^*_i}{P}$ = 0   (2)
yi - ki xi = 0   (3)
$\displaystyle \Sigma y_i - 1$ = 0   (4)

The range of i and the summation is from 1 to n , the number of components.

With the equations in the above sequence and the output set, say for a binary, chosen to be:

\begin{displaymath}\{P^*_1, k_1, y_1, P^*_2, k_2, y_2, T \}\end{displaymath}

The incidence matrix is:

\begin{displaymath}\left[
\begin{array}{c c c c c c c}
1 & & & & & & 1 \\
1 & 1...
...1 \\
& & & & 1 & 1 \\
& & 1 & & & 1 \\
\end{array}\right]
\end{displaymath}

The final, summation, equation does not involve T explicitly. However, for any value of T the value of the function can be determined, and will be zero when T satisfies the equations.


Next - Section 3.5.3: Example Questions
Return to Section 3 Index